-
行业资讯
INDUSTRY INFORMATION
在制造业、互联网、创新型企业快速发展的背景下,扁平化管理成为组织结构调整的新趋势。绩效考核系统的选择直接影响到员工激励、团队协作与企业目标的达成。红海云观察到,传统的自上而下考核机制已无法满足扁平化企业对灵活性和公平性的需求。本文围绕主流绩效考核工具,梳理横向对比要点,结合真实业务场景,分析扁平化管理企业应如何选型绩效考核系统,帮助管理者制定更高效的绩效管理方案。
绩效考核系统的基本类型与发展趋势
绩效考核系统经历了从简单的纸质考核表,到高度数字化的管理平台的演变。随着企业组织结构从传统金字塔型向扁平化转型,对考核工具的要求不断提升——不仅要高效,还要支持多维度反馈与灵活配置。
目前主流绩效考核工具主要有以下几类:
| 工具类型 | 核心特点 | 适用场景 |
|---|---|---|
| KPI | 量化目标导向 | 销售、生产型企业 |
| MBO | 目标共识、协同 | 项目型、创新型团队 |
| BSC | 多维度平衡 | 大型、战略驱动型企业 |
| 360度反馈 | 多方评价、发展导向 | 协作、服务型组织 |
| OKR | 透明目标、敏捷 | 扁平化、互联网企业 |
绩效考核系统的数字化趋势体现在:
支持自定义指标与流程,适配不同企业管理模式
强调过程反馈与持续沟通,打破年度评审的周期壁垒
集成数据分析与智能推荐,提升管理决策支撑能力
绩效考核系统演进路径
绩效考核系统发展历程图,展示从传统到智能平台的演进路径
绩效考核系统的不断升级,为扁平化管理企业带来更多选择和挑战,企业需结合自身业务特点,选出最能激发组织活力的工具。
扁平化管理企业的绩效考核需求分析
扁平化管理强调减少层级、放权增效,使员工直接参与决策和目标制定。绩效考核系统在此类企业中的作用,已不仅仅是“评分器”,而是团队沟通与能力发展的桥梁。
权责边界清晰
扁平化企业中,每位员工的职责更加多元,绩效考核系统需能够支持灵活配置岗位目标,并明晰个人在团队中的具体贡献。例如,一家制造业企业推行扁平化后,工程师既要负责开发,又要参与工艺优化,绩效考核需能针对不同职责设定多维度指标。
支持多维度绩效反馈
在扁平化环境下,单一上级评价已难以全面反映员工价值。绩效考核系统应具备360度反馈功能,结合同事、下属、项目组评价,形成立体化画像。这能够有效减少“人情分”和偏见,提升考核的公正性和激励效果。
强调协作与创新
扁平化管理鼓励跨团队合作和知识共享,绩效考核系统需能够记录和评价协作行为、创新成果。例如,互联网企业常常以项目为单位推进工作,考核体系不仅要衡量结果,还要关注过程中的协作表现和创新贡献。
支持即时反馈与动态调整
扁平化企业业务变化快,员工目标调整频繁。绩效考核平台应支持OKR等动态目标管理工具,鼓励员工主动设定目标,并根据项目进展灵活调整考核内容。系统需提供实时反馈通道,使管理者与员工之间能够随时沟通绩效进展。
促进职业发展与能力提升
绩效考核不仅影响薪酬和晋升,更是员工成长的驱动力。扁平化企业更关注员工能力的持续提升,考核系统应能根据评估结果自动推荐培训资源、发展路径,帮助员工实现职业跃迁。
以上五点是扁平化管理企业在绩效考核系统选型时必须重点关注的功能方向。只有满足这些需求,绩效管理才能真正服务于组织活力和员工成长。
主流绩效考核系统横向对比
在扁平化管理企业中,绩效考核系统的选择需结合团队协作、目标动态调整和评价公平性等核心诉求。以下对五种常见绩效考核工具进行横向对比:
KPI关键绩效指标
KPI以结果导向为核心,将企业目标分解为具体、可衡量的指标。对于生产、销售型企业,KPI能清晰反映业绩贡献,激励效果明显。
优点:指标量化,考核结果直观;推动业务目标达成
缺点:指标设置难度高;对创新、协作类岗位不适用;易受短期业绩影响,忽视过程与能力成长
适用场景:生产线、销售团队或目标高度明确的组织。
MBO目标管理法
MBO由管理者与员工共同协商制定目标,强调员工参与和责任共担。扁平化管理企业普遍采用MBO,以提升团队成员的自主性和主人翁意识。
优点:参与度高,目标与意愿更契合;促进沟通与协作;易于落地,成本较低
缺点:目标设定多为短期,战略衔接需加强;过程控制相对薄弱
适用场景:项目型、创新型企业,或强调协作的团队。
BSC平衡计分卡
BSC从财务、客户、内部流程、学习与成长四个维度考核绩效,兼顾短期与长期目标。其结构有助于将战略目标转化为实际行动。
优点:多维度考核,平衡发展;支持战略落地
缺点:实施难度大,周期长;需较多资源投入,不适合中小型扁平化企业
适用场景:大型企业或战略导向明显的组织。
360度反馈
360度反馈整合上级、同事、下属甚至客户的评价,强调全面、客观的能力评估。扁平化管理企业采用360度反馈,能有效降低主观偏见,促进团队间的互信合作。
优点:多方评价,结果更全面;促进个人发展与协作
缺点:实施成本高,周期长;评价标准不统一,易受人际关系影响
适用场景:服务型、协作型、创新型团队。
OKR目标与关键结果
OKR强调目标的透明与挑战性,关键结果需可量化。适用于快速变化、追求创新的扁平化团队。
优点:目标公开透明;支持动态调整与团队协作;鼓励自驱与创新
缺点:管理者需持续跟踪与辅导;不适合高度流程化的岗位
适用场景:互联网、研发、创意型企业。
绩效工具优缺点横向对比表
系统类型 优点 缺点 适合扁平化管理企业? 典型应用场景 KPI 量化清晰 创新性弱 部分适合 销售、生产 MBO 协作参与高 长期战略弱 高度适合 项目、创新 BSC 战略落地强 实施难度大 不太适合 大型企业 360度反馈 全面公正 成本高 适合部分团队 协作、服务 OKR 动态透明 需持续跟进 高度适合 互联网、研发 绩效工具优缺点对比表,突出MBO与OKR最适合扁平化管理企业
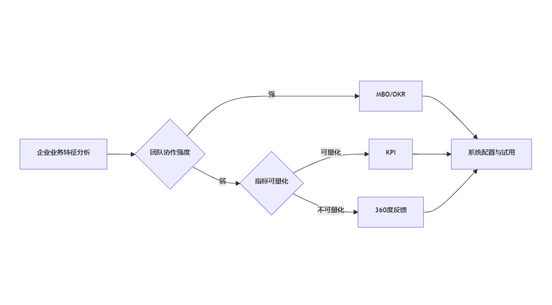
绩效考核系统选型流程
绩效考核系统选型流程图,展示根据协作强度和业务特征决定工具类型
通过上述横向对比,扁平化管理企业在选型时应重点关注MBO与OKR模式,同时可结合360度反馈以提升评价的全面性与公正性。KPI和BSC则更适合传统或大型组织,并非扁平化架构的首选。
扁平化管理场景下的绩效工具选择建议
扁平化管理企业在绩效考核工具选择上,往往面临多样化需求与实际落地难题。绩效考核系统不仅要契合企业文化,还需真正解决团队协作、动态目标调整和多元反馈等核心问题。结合横向对比结果,建议从以下几个维度进行选型和落地:
明确考核目标与团队特性
扁平化管理强调员工自主与团队协同,绩效考核系统应支持员工与团队共同制定目标。以某创新型研发企业为例,项目组成员通过OKR模块设定季度目标,形成全员可见的关键结果追踪,大幅提升了目标一致性和执行力。
强化多维度反馈机制
在协作频繁的扁平化团队,单一上级评价难以准确反映个人贡献。建议绩效考核系统集成360度反馈功能,并设置匿名评价与权重分配,减少“人情分”影响。服务型企业通过系统化多维反馈,发现团队中“无名英雄”,促进员工积极性与归属感。
动态调整与即时沟通
扁平化企业业务变化快,目标需灵活调整。绩效平台应支持OKR或MBO等动态目标管理工具,员工可根据项目进展随时修改目标,管理者通过系统即时沟通绩效进展,及时发现问题并调整策略。例如,互联网企业利用系统内的实时反馈模块,实现周度绩效回顾,员工与管理者沟通无障碍。
能力发展与激励挂钩
绩效考核不仅影响薪酬,还应成为能力成长的助推器。系统需对接学习发展模块,根据考核结果智能推送培训资源,并将晋升机会与能力评价挂钩。某制造业企业通过绩效平台整合岗位技能库,员工每季度自查能力短板,HR自动推荐技能实训课程,员工成长路径更加清晰。
绩效工具落地建议表
绩效工具落地建议表,展示各建议维度的具体做法及实际应用效果
绩效考核系统的选型与落地,需结合企业实际业务场景进行持续优化,只有不断迭代,才能真正发挥绩效管理的价值,为扁平化管理企业注入持续动力。
案例分析与未来展望
行业应用案例解析
在一家互联网技术公司推行扁平化管理后,HR团队选择将MBO与OKR相结合的绩效考核系统进行试点。团队成员分组设定季度目标,并通过系统实时更新关键成果,每月进行360度反馈。项目经理分享:“以前年度考核大家都觉得是‘走流程’,现在每个人都能看到自己目标进展和同事的评价,绩效考核变成了促进成长的工具。”
在制造业企业实践中,绩效考核系统集成了岗位技能库和协作评价模块。技术人员不仅要完成产线指标,还需参与品质改进项目,系统自动记录协作表现和创新建议。HR负责人反馈:“协作能力和创新意识得到明显提升,员工之间的配合更加顺畅,绩效考核不再只是‘分数’,而是能力成长的‘里程碑’。”
未来发展趋势
扁平化管理企业对绩效考核系统的需求将持续升级。未来,绩效考核工具将更加注重:
支持敏捷团队与项目制管理,考核周期缩短,反馈机制更加灵活;
集成AI智能分析,自动识别员工能力短板与发展机会;
强化与企业文化和价值观的融合,使绩效考核成为推动企业愿景落地的“发动机”;
更加重视员工体验,提升系统操作的便捷性与反馈的及时性。
绩效考核系统发展趋势结构图
绩效考核系统发展趋势结构图,展示扁平化管理需求驱动下的四大发展方向与系统升级路径
随着组织模式不断创新,绩效考核系统也将不断迭代,成为企业人才发展与战略推动的核心工具。
绩效考核系统选型与落地,是扁平化管理企业迈向高效运营的关键一环。通过对KPI、MBO、BSC、360度反馈、OKR等工具的横向对比,可以发现:MBO和OKR模式更适合强调协作、创新和员工自主的扁平化团队,而360度反馈则为评价的公平性与多维度性提供了有力支撑。绩效考核系统不仅需要数据统计和结果呈现,更应成为推动企业文化落地、激发员工活力的“助推器”。
随着企业业务模式和管理理念持续变化,绩效考核系统也必须不断升级,融合敏捷考核、智能分析与个性化发展路径。管理者应以实际业务为核心,持续优化绩效考核方案,让考核成为员工成长与组织进步的“里程碑”。只有选准适合自身的绩效考核工具,扁平化管理企业才能真正实现降本增效和人才驱动的持续发展。
































































