-
行业资讯
INDUSTRY INFORMATION
摘要:2025年,中小企业数字化转型迈入深水区,考勤管理作为高频刚需场景,正迎来云端智能化变革浪潮。传统纸质打卡与单机软件难以应对灵活用工、多地办公等挑战,红海云eHR系统打造的智能考勤解决方案,依托私有化部署与智能引擎技术,实现考勤数据的精准采集、实时处理与全局联动,助力中小企业降本增效、合规避险、提升员工体验,重塑人力资源管理价值。
人力资源管理的数字化进程正以前所未有的速度重塑着企业运营逻辑。考勤管理,这一看似基础却牵一发而动全身的环节,在2025年中小企业谋求高质量发展的背景下,其重要性愈发凸显。政策监管持续细化、用工模式日益多元、员工对体验诉求不断提升,传统考勤方式捉襟见肘。云端技术、人工智能与一体化理念的融合,正推动考勤管理迈向智能化、敏捷化与人性化的新阶段。红海eHR正是这场变革中赋能企业的重要工具。
1 中小企业考勤管理:2025年的痛点与挑战
中小企业在快速发展的同时,考勤管理领域正面临前所未有的复杂局面。这些挑战若不能有效解决,将成为制约企业效率、合规性与员工凝聚力的瓶颈。
1.1 合规性风险加剧:政策多变与执行偏差
劳动法律法规体系日益完善,地方性政策差异显著,工时制度、加班审批、休假规则等要求不断细化。某制造企业因未准确理解并执行某地关于综合计算工时的特殊报备要求,导致后期被员工集体申诉并面临高额赔偿,声誉严重受损。手工记录或简单电子打卡方式难以精准适配复杂规则,执行过程依赖人工判断,极易出现偏差,为劳动争议埋下隐患。企业需时刻绷紧合规之弦,稍有不慎便会陷入被动。
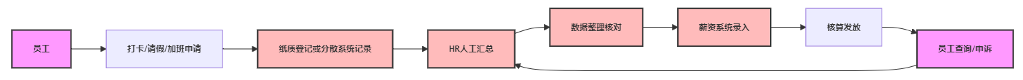
1.2 效率瓶颈突出:数据割裂与人工核算
考勤数据并非孤立存在。当考勤系统与薪资计算、绩效评估、生产排班等环节割裂,HR部门需耗费大量精力进行数据导出、格式转换、人工核对与二次录入。某拥有300名员工的科技公司,HR每月需花费近一周时间整理各部门提交的考勤表、加班单、请假条,再手动录入薪资系统进行核算,不仅效率低下,且在人员流动高峰期极易出错,引发员工对薪资准确性的质疑。这种低效的数据流转模式严重消耗了HR的专业价值和时间成本。
1.3 员工体验短板:流程繁琐与感知不公
传统考勤流程对员工而言往往意味着繁琐与不便。排队打卡、纸质请假层层审批、加班申请石沉大海、月底对账困难重重,都直接影响员工的工作体验和满意度。某服务业企业员工反馈,申请调休需找主管签字、部门经理签字、再交到HR,流程漫长且状态无法追踪,感觉非常被动。员工对考勤结果的透明度和申诉渠道的便捷性要求越来越高,任何模糊不清或响应迟缓都可能被解读为管理不公,侵蚀团队信任基础。

2 云端考勤管理软件:变革的核心驱动力与价值
面对传统考勤的困境,基于专属云端架构的智能考勤管理系统正展现出强大的变革力量,为中小企业带来切实价值。
2.1 部署灵活性与数据安全性:专属云端环境的优势
不同于早期公有云服务的模式,现代云端考勤管理软件充分支持私有化部署或专属云模式。企业可根据自身对数据主权、网络环境、集成深度和合规要求的考量,灵活选择将系统部署在自有数据中心或特定的专属云环境内。某金融机构出于严格的金融数据监管要求,选择了红海云eHR系统的本地化部署方案,在保障内部网络隔离与核心数据物理可控的前提下,依然享受到了云端应用的便捷更新与远程运维优势。这种模式有效平衡了安全合规与先进技术的应用。
2.2 全流程自动化与一体化:告别手工,拥抱智能
智能云端考勤系统的核心价值在于打破数据孤岛,实现全流程自动化贯通。员工通过移动端或智能终端打卡,数据实时传输;系统内置强大的规则引擎,自动匹配复杂多变的工时制度、加班规则、假期政策;请假、加班、出差等申请在线提交,流程驱动自动流转审批;处理结果无缝对接薪资计算模块,实时联动绩效数据。某连锁零售企业应用红海云eHR后,全国门店考勤数据自动汇总,薪资核算周期从原来的7天缩短至3天,且准确性显著提高,HR得以从繁重的事务中解脱,专注于人才发展策略。
2.3 移动化与员工赋能:体验升级与自我管理
移动应用已成为云端考勤的标配。员工通过手机APP即可随时随地进行打卡(支持GPS/WIFI/蓝牙多重定位与反作弊)、查看实时考勤状态、在线提交并追踪请假/加班申请、一键申诉异常记录、自助导出考勤证明。某快消企业员工反馈:“现在手机点几下就能请假,领导审批也快,还能随时看自己这个月的考勤情况,再也不用跑HR问了,方便也透明。”管理者同样受益,移动审批、随时查看团队出勤报表、接收异常预警,大幅提升管理效率和响应速度。这种透明便捷的体验,极大提升了员工的参与感和满意度。

3 2025年云端考勤管理的关键技术变革趋势
技术的迭代将持续深化云端考勤管理的智能化程度,2025年我们将看到以下关键趋势:
3.1 人工智能深度应用:从识别到预测
AI在考勤领域的应用正从基础的身份识别(如人脸、指纹)向更复杂的场景理解和预测分析演进。基于计算机视觉的行为分析技术可以辅助判断员工是否处于正常工作状态;自然语言处理使得通过语音或文字描述进行复杂请假事由的登记成为可能;更重要的是,机器学习算法开始应用于考勤数据的深度挖掘。红海云eHR系统通过分析历史出勤、请假、加班数据,结合业务排班计划,可预测未来特定时段、特定部门或岗位可能的出勤缺口或人力冗余风险,为管理者提供前瞻性的调度建议,从被动响应转向主动规划。
3.2 数据驱动决策:考勤数据的价值延伸
考勤数据正从单纯的人事记录转变为驱动企业运营决策的重要资产。通过与业务系统(如生产MES、项目管理系统、销售CRM)的深度集成,考勤数据能揭示更深刻的洞见。例如,分析不同班组、不同时间段的人效比,优化生产排班;将项目成员的出勤投入与项目进度、成本关联分析,提升项目管理精度;评估门店客流高峰与员工排班的匹配度,优化服务资源配置。某知名设计院利用红海云eHR的考勤与项目工时数据,精确核算了不同项目类型、不同阶段的人力成本投入产出比,为项目报价和资源调配提供了坚实的数据支撑,项目利润率平均提升了8%。
3.3 生态化集成:打破信息孤岛
未来的云端考勤管理软件将更强调作为企业数字化生态中的关键节点。通过开放的API接口和标准协议(如Restful API),考勤系统能够与身份认证系统、门禁系统、访客管理系统、会议室预订系统、甚至智能照明或能耗管理系统实现无缝连接与数据互通。这种集成不仅消除了重复录入,更重要的是构建了以“人”为中心的空间、时间、资源使用全景图。例如,员工刷卡进入办公区即联动完成考勤登记,预订会议室成功时自动释放其工位状态供他人共享使用。红海云eHR致力于构建这种开放互联的生态,让考勤数据在企业内部顺畅流动,赋能全局管理。

4 中小企业如何落地智能化考勤管理
拥抱云端智能考勤是趋势,但成功落地需要科学的规划和执行。中小企业可遵循以下路径:
4.1 明确需求与评估方案:选择适配的智能化路径
中小企业切忌盲目追求功能大而全的“顶级”系统。第一步是深入梳理自身痛点:是合规风险突出、还是效率亟待提升?是员工体验差、还是数据无法支持决策?主要用工模式是什么(标准工时、综合工时、弹性工时、大量非全日制)?需要哪些核心功能(移动打卡、复杂排班、自动算薪、深度集成)?对部署模式有何硬性要求?带着清晰的需求清单去评估供应商,重点考察其方案是否能精准解决核心痛点,规则引擎的灵活配置能力,以及能否提供专属部署选项。红海云eHR针对不同规模、不同行业的客户提供模块化、可配置的解决方案,确保企业只为所需价值买单。
4.2 注重数据迁移与系统集成:夯实基础
考勤历史数据的完整、准确迁移是新系统运行的基础保障。与供应商紧密合作,制定详细的迁移计划,明确旧数据的清洗规则、转换逻辑和新系统的字段映射。对于集成需求,明确需要对接的现有系统(如已有的HR系统、OA、门禁、薪资系统等),梳理数据交互的字段、频率和方式,利用供应商提供的成熟接口或定制开发API实现数据自动同步。某物流企业在实施红海云eHR前,花了1个月时间与红海云实施顾问共同梳理并清洗了3年的历史考勤数据,并完成了与现有车辆调度系统的关键数据对接,确保新系统上线即可顺畅运行,历史数据可查可用。
4.3 强化培训与持续优化:保障落地效果
系统的价值最终通过人的使用实现。必须制定分角色、分层级的培训计划:面向HR管理员,重点培训复杂规则配置、报表查看、异常处理;面向各级管理者,培训移动审批、团队考勤数据查看、异常预警处理;面向普通员工,培训APP使用、自助申请与查询。培训形式应多样化,如现场讲解、操作手册、短视频教程、在线答疑等。上线初期设立内部支持专员或建立与供应商的快速响应通道至关重要。系统上线并非终点,需根据实际运行反馈和业务变化,持续优化规则配置、审批流程和报表内容。红海云eHR提供专业的培训体系和持续的客户成功服务,陪伴客户共同优化应用效果。
结语
2025年,云端考勤管理已不再是简单的打卡工具,而是中小企业提升运营效率、保障合规底线、优化员工体验、驱动数据决策的战略性支点。红海云eHR系统以其强大的规则引擎、灵活安全的部署模式、深度的一体化能力以及对未来AI与生态化趋势的前瞻性布局,为中小企业提供了一站式的智能化考勤解决方案,让考勤数据真正流动起来,成为企业数字化转型浪潮中的坚实动力。拥抱这场变革,从重构考勤管理开始,开启高效、合规、以人为本的人力资源管理新篇章。




























































